爱因斯坦提出的相对论被称为现代物理学的两大基石之一,其在科学界的认同度可想而知,然而在相对论的体系里,却有一个令人难以接受的理论,那就是宇宙中任何具有静止质量的物体的运动速度都不能超光速,除此之外,任何能量和信息的传递速度也不能超光速。

既然令人难以接受,那么就有人提出质疑,例如对于“具有静止质量的物体的运动速度不能超光速”,就有人认为,假如有一艘宇宙飞船携带了充足的燃料,能够不断地给自己提供加速度,那么经历足够长时间的加速之后,这艘宇宙飞船就可以超光速了。
在经典物理学中,这种假设应该是成立的,那相对论是如何对此进行解释的呢?

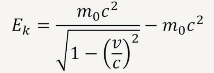
上图为相对论动能公式,其中m0和v分别代表物体的静止质量和速度,c为光速,从中我们可以看到,当一个物体的速度在无限接近光速时,其自身的动能也会无限增加。这就意味着,要将一个具有静止质量的物体加速到光速,就需要无穷大的能量,这显然是不可能的。
好吧,既然此路不通,那不妨再来看看“能量和信息的传递速度不能超光速”,对此,有人提出了这样一种思想实验,假如有一根1光年长的棍子,我在这头推一下,另一头会超光速吗?

不得不说,这的确是一个很有想象力的思想实验,因为在日常生活中,我们在棍子的这头推一下,另一头立刻就可以感觉得到,按照这样的思路,假如真的有一根1光年长的棍子,我们应该就能够以超光速传递信息和能量了。
那么一根1光年长的棍子,真的可以实现超光速吗?答案当然是否定的,因为这个思想实验最基本的设定是“力能够通过棍子进行瞬间传递”,而这个设定却无法在现实中实现。
世界上的所有物体都是由大量的微观粒子构成,棍子当然也不例外,从微观的层面来看,棍子可以看成是一大堆原子的聚合体,在电磁力的作用下,这些原子通常会以“晶格”的形式整整齐齐地排列。

当我们推动棍子的时候,其实只是棍子最前端的原子受到了力,在受力之后,它们的位置就会发生改变,其电场分布也出现了不同,这会促使邻近原子的位置发生改变,而这些原子的位置改变后,更远的原子又会因为相同的原因而随之改变。
简单来讲就是,我们推动棍子的力首先传递给“第一层”的原子,然后它们又去推“第二层”的原子,接着“第二层”的原子又去推“第三层”的原子,力就这样一层接一层地传递,直到传递到棍子的另一头。

如上图所示,这其实就是一种机械波,它的速度是有限的,并不是想象中的那样“瞬间传递”。我们之所以会觉得在棍子的这头推一下,另一头立刻就可以感觉得到,其实是因为机械波在棍子中传播的时间很短,以至于我们无法察觉,具体有多短呢,我们不妨来简单计算一下。
机械波的传播速度与传播介质的弹性模量(K)以及密度(ρ)密切相关,其计算公式为“V=根号下(K/ρ)”。
假设棍子是钢做的,钢的弹性模量可取值200GPa,密度可取值7.85 x 10^3千克/立方米,据此我们可以计算出,机械波在这根棍子里的传播速度大概是每秒钟5千米。

假设这根棍子的长度为10米(一般都没有这么长的棍子),那么我们在这头推一下,在0.002秒之后,另一头就可以感觉到,如此短的时间间隔,没人能察觉得到。
需要指出的是,机械波在任何已知介质中的传播速度都远远低于光速,即使是在目前最好的材料——碳纳米管中,其传播速度也只能达到大约每秒钟690千米,而光速则是大约每秒钟30万千米,两者相差好几个数量级。
从理论上来讲,只有在介质的弹性模量达到无穷大的时候,力才可以在其中瞬时传递,然而这种介质在现实中并不存在。因此可以说,就算真的有一根1光年长的棍子,并且我们还可以推动它,我们也无法实现超光速。
好了,今天我们就先讲到这里,欢迎大家关注我们,我们下次再见。
(本文部分图片来自网络,如有侵权请与作者联系删除)
评论列表