
澳洲移民局近期,公布25-26财年澳洲独立技术移民189邀请上限数据(Occupation Ceiling)。
根据移民局提供的信息,目前的邀请职业详细划分为4个层级,有不同的配额上限设定比例:Tier 1(4%)、Tier 2(2%)、Tier 3(1%)、Tier 4(0.5%)。
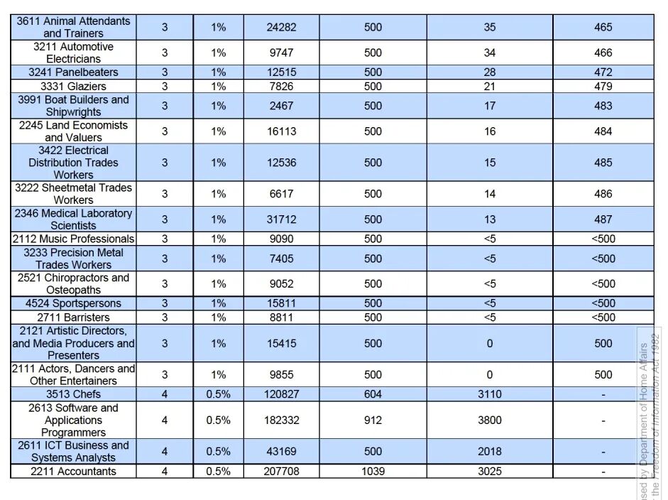
根据最后一列 Remaining places for PY25/26,25-26财年189邀请该职位的配额上限数据如下:
189配额上限完整数据





护理教育类岗位,相关的职业,尤其是技术工人岗位,也是澳洲比较紧缺的的,例如木工和细木工908个, 瓷砖工363个,建筑师和景观建筑师221个,土木工程绘图员和技术员130个。
以下职业组(ANZSCO 前四位一致,图五)是0配额,理论上25-26财年不会发任何邀请 :
2332 Civil Engineering Professionals 土木工程师 ;
2339 Other Engineering Professionals 其他工程师;
2333 Electrical Engineers 电气工程师;
3212 Motor Mechanics 汽修技师;
3513 Chefs 大厨;
2613 Software and Applications Programmers 软件和应用程序员;
2611 ICT Business and Systems Analysts 业务和系统分析师;
2211 Accountants 会计;
2631 Computer Network Professionals 计算机网络专家;
2212 Auditors, Company Secretaries and Corporate Treasurers 审计、公司秘书及公司财务主管;

由于本财年联邦已经大量发放两次189邀请,目前配额剩余有限,积压数据也比较健康。
如果再发放一次新的邀请,数量不会太多,配额多的职业还可以期待,如果自己岗位的配额告急,建议考虑190或491签证做备案。
需要注意的是,该政策指导的实施取决于实际操作情况、相关部长指示以及澳大利亚政府的其他优先事项。
当然,澳洲移民的方案不只有打分制技术移民,申请人应该根据自己的岗位、分数情况以及整体竞争环境进行规划,确定性更高的北领地MINT项目和雇主担保也是可以考虑的。