DC娱乐网
传媒人乐爸的文章
那些校招进央媒的人丨到底做对了什么?
2025-11-09 00:48
那些校招进央媒的人丨到底做对了什么?
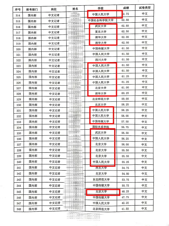
中国外文局所属单位录取名单公示
2025-10-29 00:31
中国外文局所属单位录取名单公示
总台offer开始陆续发放丨等额体检无实习
2025-10-29 00:33
总台offer开始陆续发放丨等额体检无实习
人民教育出版社2025录取名单公示丨解决户口
2025-09-23 14:06
人民教育出版社2025录取名单公示丨解决户口
科技日报面试通知已出
2025-10-29 01:24
科技日报面试通知已出
中国文联2025录取名单出炉
2025-11-07 00:35
中国文联2025录取名单出炉
中国教育报2025校招录取名单公示
2025-10-28 20:40
中国教育报2025校招录取名单公示
双非二本照样上岸北京编制
2025-10-29 00:51
双非二本照样上岸北京编制
工人日报面试通知已出丨解决编制户口
2025-10-29 01:25
工人日报面试通知已出丨解决编制户口
中国交通报社录取名单公示丨解决北京户口
2025-10-31 00:22
中国交通报社录取名单公示丨解决北京户口
北京广播电视台面试成绩已出
2025-10-29 00:31
北京广播电视台面试成绩已出
中国高校应届生薪资排行榜!中传属实没想到
2025-11-03 00:28
中国高校应届生薪资排行榜!中传属实没想到
中纪委新闻传播中心2025校招录取名单公示
2025-11-02 00:34
中纪委新闻传播中心2025校招录取名单公示
中国教育电视台录取公示丨谁还说性别歧视?
2025-11-11 02:12
中国教育电视台录取公示丨谁还说性别歧视?
为什么感觉找工作身边全都是关系户?
2025-11-03 00:44
为什么感觉找工作身边全都是关系户?
新华社校招没考上要不要再来一年?
2025-11-09 00:02
新华社校招没考上要不要再来一年?
央视网线下二面通知已发
2025-11-06 00:47
央视网线下二面通知已发
中央主要新闻单位校招时间表丨26届必看
2025-11-02 01:17
中央主要新闻单位校招时间表丨26届必看
中国作协2025校招录取名单公示
2025-11-08 00:54
中国作协2025校招录取名单公示
自然资源报社2025校园招聘丨解决编制户口
2025-10-30 02:17
自然资源报社2025校园招聘丨解决编制户口
第一页
下一页
作者信息
传媒人乐爸
感谢大家的关注
分类: 教育
热门分类
推荐
热榜
军事
NBA
体育
社会
明星八卦
娱乐
财经
科技
汽车
历史
国际
游戏
动漫
公益
搞笑
商业
互联网
数码
国际足球
房产
家居
时尚
科学探索
职场
育儿
股票
教育
影视
情感
热点
中国军情
武器
中国南海
中国足球
亚洲杯
科比
综合体育
CBA
投资
楼市
大咖秀
外汇
创业
风口
SUV
豪车
概念车
优惠
新能源
美国
欧洲
朝日韩
俄罗斯
孕期
街拍
恋爱攻略
婚姻
正能量