DC娱乐网
座椅一吃烧烤的文章
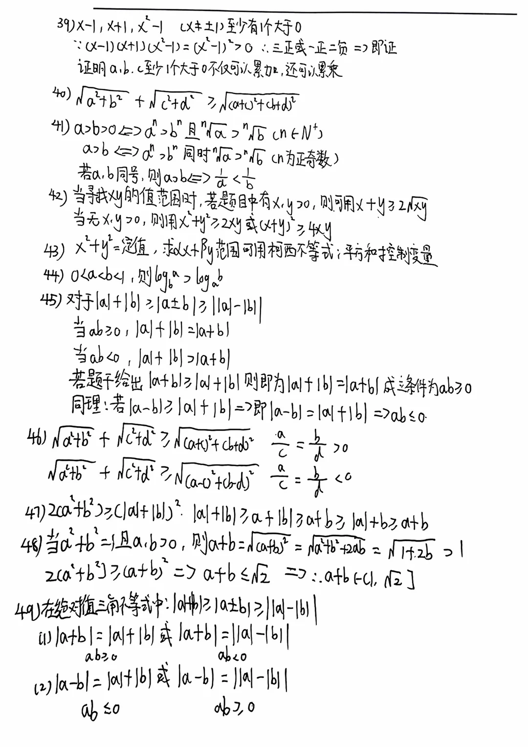
管综二级结论笔记(2/3)
2025-11-20 16:45
管综二级结论笔记(2/3)
管综二级结论笔记又来了!(1/3)
2024-11-18 15:23
管综二级结论笔记又来了!(1/3)
海绵模考3数学部分解析
2024-11-17 16:21
海绵模考3数学部分解析
管综数学要考高分,就别做出题人的“舔狗”!
2025-11-20 16:45
管综数学要考高分,就别做出题人的“舔狗”!
英语2小作文热点类型模版及示例
2024-11-15 14:15
英语2小作文热点类型模版及示例
26管综考研规划(扫盲贴!)
2024-11-15 14:16
26管综考研规划(扫盲贴!)
挑灯成硕6套卷测评与做题顺序推荐
2025-11-20 16:45
挑灯成硕6套卷测评与做题顺序推荐
管综考试如何提速?为什么你总是做不完?
2024-11-13 16:57
管综考试如何提速?为什么你总是做不完?
管综论说文模版——个人篇(20个套话模版!)
2024-11-12 12:36
管综论说文模版——个人篇(20个套话模版!)
海绵2模数学条充第17和19题解析
2024-11-10 12:35
海绵2模数学条充第17和19题解析
海绵二模英语2(24考研英二89分学长)
2024-11-10 12:35
海绵二模英语2(24考研英二89分学长)
海绵模考2数学部分
2024-11-10 13:30
海绵模考2数学部分
英语定制模版及英语主题词
2024-11-09 16:46
英语定制模版及英语主题词
管综考研11月每日时间安排
2024-11-08 16:09
管综考研11月每日时间安排
重生之再战23管综真题数学
2024-11-07 21:49
重生之再战23管综真题数学
关于海绵模考一数学第25题
2024-11-07 21:06
关于海绵模考一数学第25题
管综论说文模版—企业篇(20个困难➕措施模版)
2024-11-06 18:04
管综论说文模版—企业篇(20个困难➕措施模版)
管综数学公式大全Pro
2024-11-06 00:24
管综数学公式大全Pro
管综论说文模版——企业篇(25个套话模版!)
2024-11-06 01:11
管综论说文模版——企业篇(25个套话模版!)
管综模考卷推荐!
2024-11-04 23:15
管综模考卷推荐!
第一页
下一页
作者信息
座椅一吃烧烤
感谢大家的关注
分类: 生活
热门分类
推荐
热榜
军事
NBA
体育
社会
明星八卦
娱乐
财经
科技
汽车
历史
国际
游戏
动漫
公益
搞笑
商业
互联网
数码
国际足球
房产
家居
时尚
科学探索
职场
育儿
股票
教育
影视
情感
热点
中国军情
武器
中国南海
中国足球
亚洲杯
科比
综合体育
CBA
投资
楼市
大咖秀
外汇
创业
风口
SUV
豪车
概念车
优惠
新能源
美国
欧洲
朝日韩
俄罗斯
孕期
街拍
恋爱攻略
婚姻
正能量