DC娱乐网
传媒人乐爸的文章
文科生真的要全力考公吗?
2025-11-10 01:30
文科生真的要全力考公吗?
考公和秋招应该如何抉择?
2025-11-04 00:48
考公和秋招应该如何抉择?
真正懂行的人才知道的优质传统媒体单位
2025-10-01 04:30
真正懂行的人才知道的优质传统媒体单位
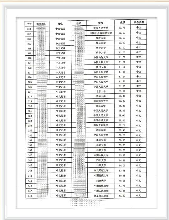
工人日报社2025届校招录取名单公示
2025-11-07 00:15
工人日报社2025届校招录取名单公示
😭北京生源进媒体真的很容易!京外太卷了
2025-11-08 00:13
😭北京生源进媒体真的很容易!京外太卷了
中国日报社2025年录取名单公示
2025-11-07 00:06
中国日报社2025年录取名单公示
2026媒体单位招聘预计招收1000人!
2025-10-14 23:25
2026媒体单位招聘预计招收1000人!
北京日报社2025录取名单公示丨你上榜了吗
2025-11-04 00:04
北京日报社2025录取名单公示丨你上榜了吗
小地方关系户真的很多吗(非北京)
2025-11-04 00:26
小地方关系户真的很多吗(非北京)
中国石化录取名单公示丨留学生非常多
2025-11-02 00:51
中国石化录取名单公示丨留学生非常多
一周只上三天班,不用坐班的工作太爽了
2025-11-06 00:20
一周只上三天班,不用坐班的工作太爽了
北京积分落户名单公示丨总台领跑榜单
2025-11-08 00:05
北京积分落户名单公示丨总台领跑榜单
日语专业能做中文评论员吗😅
2025-11-09 01:15
日语专业能做中文评论员吗😅
新华社校招岗位情况介绍丨26届校招必看
2025-11-10 01:13
新华社校招岗位情况介绍丨26届校招必看
采编岗位只要男生也太夸张了😅
2025-11-09 00:05
采编岗位只要男生也太夸张了😅
山西日报2025录取名单公示
2025-11-05 00:18
山西日报2025录取名单公示
新华社校招简历关究竟有什么“猫腻”?
2025-11-04 00:27
新华社校招简历关究竟有什么“猫腻”?
广电总局所属单位录取名单公示
2025-10-06 21:45
广电总局所属单位录取名单公示
科技日报社2025年录取名单公示
2025-10-30 00:17
科技日报社2025年录取名单公示
央媒待遇水平投稿丨到手20多
2025-07-02 09:22
央媒待遇水平投稿丨到手20多
第一页
下一页
作者信息
传媒人乐爸
感谢大家的关注
分类: 教育
热门分类
推荐
热榜
军事
NBA
体育
社会
明星八卦
娱乐
财经
科技
汽车
历史
国际
游戏
动漫
公益
搞笑
商业
互联网
数码
国际足球
房产
家居
时尚
科学探索
职场
育儿
股票
教育
影视
情感
热点
中国军情
武器
中国南海
中国足球
亚洲杯
科比
综合体育
CBA
投资
楼市
大咖秀
外汇
创业
风口
SUV
豪车
概念车
优惠
新能源
美国
欧洲
朝日韩
俄罗斯
孕期
街拍
恋爱攻略
婚姻
正能量