
NGC 4631 X8磁场的吸积诱导衰减。图片来源:arXiv
印度天文学家研究 NGC 4631 星系的超亮 X‑ray 脉冲星 X‑8,揭示其磁场演化的关键信息
1. 研究概况印度天文学家对位于 NGC 4631(鲸鱼星系)中的一颗超亮 X‑ray 脉冲星(X‑8)进行了调查。最新研究已于 2 月 16 日在 arXiv 预印本服务器上发布论文,提供了关于该脉冲星磁场演化的关键数据。
2. 超亮 X‑ray 及脉冲星超亮 X‑ray 来源(ULXs):亮度巨大的点源,其 X‑ray 辐射总量可超过百万颗太阳的多波段输出。
其亮度低于活跃星系核(AGN),但比任何已知的恒星过程都更为稳定。
尽管已对 ULXs 进行大量研究,但其基本本质仍让科学家费解。
其中部分 ULX 持续发出脉冲,被归类为 超亮 X‑ray 脉冲星(ULXPs)。
对这类天体的发现与研究,可能是推进吸积物理(尤其是超 Eddington 辐射限制的持续 X‑ray 辐射机制)理解的关键。
3. 新发现的 ULXP——X‑8NGC 4631:距离地球约 2445 万光年,是一颗晚型星爆星系,已知至少拥有 8 颗 ULX。
在其中一颗(编号 X‑8)中,天文学家发现周期约为 9.66 秒的脉冲。
X‑8 从伴星吸积质量,显示出已知 ULXP 中 最大自旋加速率之一:-9.6 × 10⁻⁸ s s⁻¹。
由印度 Aryabhatta 观测科学研究所的 Amar Deo Chandra 领导的团队,进一步探测 X‑8 的表面磁场,采用多种吸积模型。
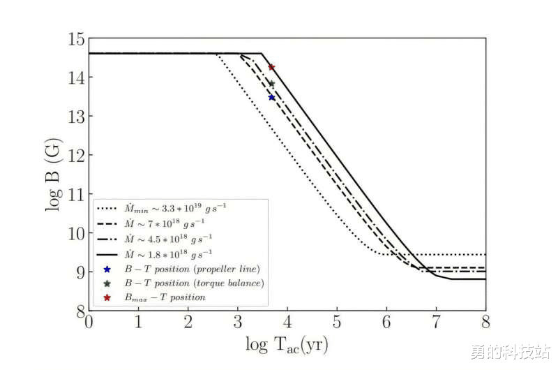
4. 解开磁场演化研究发现,该中子星表面偶极磁场强度约为 30–200 万亿高斯。
考虑到供体星质量(估计 15–70 太阳质量)和吸积率,结果表明磁场在双星吸积期结束(约 100 万年后)会衰减至 10⁹ 高斯。
之后,系统中的中子星预期演变为 毫秒脉冲星(MSP)。
在磁场–自旋周期图中,X‑8 的演化轨迹先穿过磁星与双星脉冲星区(位于 Eddington 自旋加速线之上),随后进入 再生双星脉冲星 区域,并最终在吸积期结束后停留在 再生 MSP 的位置附近。
研究指出,目前对伴星性质了解甚少;若能确定其光谱类型并更精确约束其质量,将有助于计算双星吸积期的持续时间,并更准确估计中子星在吸积期内吸积的总质量。
5. 未来研究展望“未来对 ULXPs 的多波段观测,可帮助限定其工作周期、伴星质量,进而确定吸积期时长;这些数据将使我们能更好地约束这些源的自旋与磁场演化。” ——论文作者总结。
此研究为理解超亮 X‑ray 脉冲星的磁场衰减机制与自旋演化提供了重要线索,也为预测 X‑8 未来成为毫秒脉冲星奠定了基础。
勇编撰自论文"Exploring the magnetic field of the ultraluminous X-ray pulsar NGC 4631 X-8".arXiv.2026相关信息,文中配图若未特别标注出处,均来源于自绘或公开图库。